Фільтр для вентиляції Вентс ФБ К2 100 становить собою пристрій для фільтрації припливного повітря в системі вентиляції або кондиціонування круглого перерізу 100 мм. Встановлюється перед вентилятором чи вентиляційною установкою в розрив повітровода між забиранням повітрям з вулиці та постачанням його в приміщення.

Фільтр являє собою контейнер, в якому розміщено фільтруючі елементи з різними рівнями фільтрації. Фільтр-бокс розрахований на те, що у ньому можна встановити до трьох елементів, які здійснюють фільтрацію вхідного повітря на різних рівнях — від грубого до більш тонкого очищення. Направлення потоку повітря відображено на оболонці цього пристрою.
На конструкції передбачена сервісна панель для легкого доступу до заміни або очищення фільтруючої вставки. Для цього достатньо відкрутити два гвинти на панелі, відкрити її та витягнути фільтри.

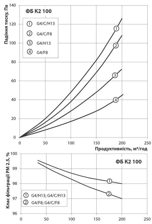
Початкове очищення забезпечується за допомогою фільтра категорії G4, тоді як наступний етап очищення проводиться фільтром категорії F8 або НЕРА-фільтром класу Н13. Фільтр категорії F8 задержує до 98% частинок твердих речовин з діаметром 2,5 мікрона, в той час як НЕРА-фільтр категорії Н13 задержує до 99% частинок того ж розміру, а також бактерії та пух. Використання вугільного фільтра дозволяє додатково усунути неприємні запахи та гази.

Електростатичний фільтр – це пристрій, який має на меті видалення найменших частинок пилу, аерозолів, диму, сажі, пари або іншими словами: усіх механічних та аерозольних часток розміром до 0,01 мікрона або менше. Його ефективність у видаленні забруднень досягає 98 %.
Дія електростатичних фільтрів ґрунтується на силі електричних зарядів різної полярності. Забруднене повітря проходить через секцію, яка наділяє аерозольні частки електричним зарядом.

Ці заряджені частки, які перебувають в потоці повітря, під впливом сил електростатичного поля та адсорбції на їх поверхні іонів переміщуються разом з потоком повітря і затримуються на струмопровідних пластинах протилежної полярності.
Для роботи цього пристрою потрібне підведення однофазного змінного струму з параметрами 1~110-220 В 50/60 Гц. Фільтр має бути регулярно очищений. Частота очищення визначається на основі забруднення вхідного повітря і може варіюватися від 7 до 21 днів. Очищення фільтра відбувається за допомогою порохотяга (пилотяга).

| D | L | H | B | L1 | B1 | L2 | B2 |
| 100 | 413.5 | 249 | 415 | 513.5 | 508 | 358.5 | 458 |
Розміри електростатичної модифікації ES
| D | L | H | B | L1 | B1 | L2 | B2 |
| 100 | 513.5 | 250 | 458 | 613.5 | 551 | 456 | 502 |

Пристрій встановлюється на різьбовий штифт, який кріпиться в різьбовому дюбелі. Під час установки продукту необхідно забезпечити достатній простір для доступу до нього для проведення сервісного обслуговування чи ремонтних робіт.
Елементи кріплення не включені до набору і мають бути замовлені окремо. При виборі кріпильних матеріалів слід врахувати тип монтажної поверхні та вагу виробу.
Для досягнення максимальної ефективності вентиляційної системи та зменшення аеродинамічних втрат, пов'язаних з турбулентністю потоку повітря, рекомендується під'єднати прямі секції вентиляційних труб до патрубків виробу з обох боків.
Мінімальна рекомендована довжина прямих секцій:
(файл у вигляді pdf, відкриється в новій вкладці при натисканні на зображення)
| Загальні характеристики | |
| Діаметр повітровода | 100 мм |